开云盘口

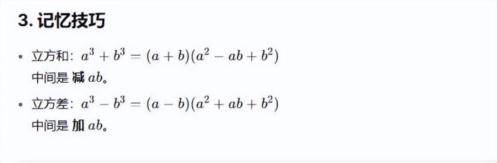
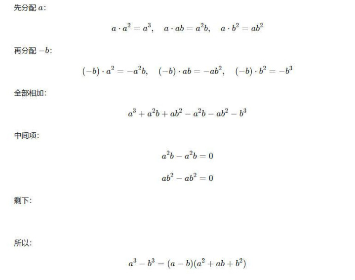
开云sports 立方和和立方差公式推导历程

发布日期:2026-04-22 01:55    点击次数:84

开云sports 立方和和立方差公式推导历程

声明:实质开始于收罗,版权归原作家悉数,星空体育app官方网站转发旨在共享,开云体育不容交易用途开云sports,若侵权后台留言。

凯发娱乐(K8)官方网站

上一篇:开云体育官方网站 “小S后悔发起大S临了的旅行”登上热搜, “淌若听姆妈的话不去, 是不是就不会发生憾事? ”;大S在日本泡温泉病情恶化, 返台前腹黑骤停
下一篇:没有了